在“FEM08-广义坐标有限元”中,介绍了将一次函数作为试函数,采用标准形式的基于纯位移变量的单元(standard pure displacement-based element)进行有限元计算的方法。对于不可压缩材料,存在体积自锁问题(volumetric locking)。位移/压力混合插值单元,增加了压力插值,可以有效解决体积自锁问题。
体积应变εv(volumetric strain)是指材料在外界载荷作用下产生的体积改变量与原体积的比值。
εv = ΔV/V; where, ΔV = Change in volume, and V = Original volume.
如图所示的3D立方体微元,在三个坐标轴方向的正应变分别为εxx、εyy和εzz。根据体积应变的定义,将ΔV/V展开,并略去二阶以上的无穷小量,可以得到:
εv = εxx+εyy+εzz (体积应变等于三个正交方向的正应变之和)。

下面通过一个例子,来说明基于纯位移变量的单元在处理不可压缩材料时,表现出来的体积自锁现象。
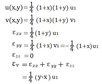
如图所示的不可压缩平面应变单元,2、3、4三个节点固定,给1号节点施加强制位移。为了保持体积不变,施加的位移应满足:v1=-u1

根据“FEM08-广义坐标有限元”中介绍的方法,写出单元的位移函数。由于2、3、4三个节点固定,这些节点的位移为0,所以位移函数只与1号节点的位移(u1,v1)有关。再根据位移函数,推导出正应变,计算体积应变。

对于不可压缩材料,受到载荷变形后体积保持不变,体积应变等于零。
εv = 0; 得到:u1=v1=0
以上分析采用的单元是标准形式的基于纯位移变量的单元,最终得到的结论表明:只有当施加的位移为零时,才能维持体积不变,保持不可压缩性。换句话说:如果要移动1号节点,需要施加无穷大的力。单元刚度非常大,表现出锁定状态,这种现象就是体积自锁。
对于各向同性材料,如果泊松比等于0.5,就是完全不可压缩状态。泊松比越接近0.5,材料越接近不可压缩状态。针对前面的平面应变单元的例子,在Adina中采用基于纯位移变量的单元进行分析。给1号节点施加位移v1=-u1=0.1,杨氏模量E=100;泊松比分别为0.49和0.4999999,对应的支反力分别为22.9和1.96E6. 由此可见:材料趋近于不可压缩状态时,基于纯位移变量的单元的刚度趋近于无穷大,出现体积自锁,验证了前面的结论。

想象一下,一个不可压缩的球体,表面受到均匀的压力P。由于不可压缩性,不管P多大,都不会有任何变形,球的任何位置的位移都是零。基于纯位移变量的单元,只把位移作为变量,应变、应力和压力都是位移的导出量。因此,对于不可压缩材料,基于纯位移变量的单元,无法区分位移都是零而压力不同的状态,也就无法准确计算压力。
对于近似不可压缩材料,基于纯位移变量的单元很难准确计算压力,其困难程度取决于材料接近不可压缩的程度。细化网格可以得到比较精确的结果,但所需的网格数量,通常要比处理同类问题的可压缩材料所需的网格数量大得多。
位移/压力混合插值单元(Displacement/Pressure mixed interpolation),是在基于纯位移变量的单元的基础上,增加了压力P作为变量。在引入压力P作为变量之前,首先需要了解这个压力(Pressure)到底是指什么?
Pressure is simply the negative of hydrostatic stress. 压力其实就是静水应力的负值。我们知道,拉伸状态的应力为正,压缩状态的应力为负,而在描述压力/压强的时候,虽然是压缩的状态,但工程应用中一般不写负号。比如,标准大气压是101kPa,而不写成-101kPa。所以,为了既符合工程应用的习惯,又不破坏数学的严谨性,这里规定压力是静水应力的负值。
解决了正负号的问题,再来解释什么是"静水应力"。Any state of stress can be decomposed into a hydrostatic (or mean)stress σm and a deviatoric stress s. 任何应力状态可以分解为静水应力(即平均应力)σm和偏应力s。

压力 P 是静水应力 σm 的负值,即 σm = -P;同时,压力 P 和偏应力 S,可以分别用体积应变 εv 和偏应变 ε' 来表示。

其中,K是体积模量,G是剪切模量。
回顾一下,“FEM05-虚位移原理”这节内容中,应力τ没有分解,内力的虚功只有一项。现在我们把应力τ拆分为压力 P 和偏应力 S,对应的虚功也相应地拆分为两项。这样就得到了同时带有位移和压力插值的虚位移原理的表达式。

再根据位移插值函数和压力插值函数,推导出单元的刚度矩阵。这类单元,称为"位移/压力混合插值单元"。

现在,重新采用位移/压力混合插值单元,对前面那个不可压缩平面应变单元的例子进行求解。

推导出应变-位移矩阵。

假设单元内部压力是一个常数,即:Hp=1, P=p0. 当然,也可以采用其他假设给出内部压力变化的插值函数。不同的压力插值函数,产生不同的单元类型。
杨氏模量E=100, 泊松比ν=0.49, 剪切模量G=E/[2(1+ν)]=33.56, 体积模量K=1666.67.
根据前面推导的应变-位移矩阵,并在单元内对dx和dy双重积分,计算单元刚度矩阵。

最后,根据KU=R,将各个节点的位移代入,就可以计算出每个节点受到的外力。节点位移:v1=-u1=0.1,其他都是0.

在Excel中就可以完成以上矩阵的乘法。计算结果显示:1号节点在u和v两个方向受到的外力分别是-2.3306和2.3306,则该节点的合力是:3.296. 比前面Adina中采用基于纯位移变量的单元得到结果22.94小了不少。说明采用位移/压力混合插值方法,确实解决了体积自锁造成刚度偏大的问题。现在,将Adina仿真模型中的单元改为位移/压力混合插值单元,得到的节点受力情况如下图。泊松比为0.49时,1号节点外力是3.296,与前面理论分析Excel计算结果一致;泊松比为0.4999999时,1号节点外力是3.274. 说明泊松比趋近于0.5时,计算结果趋于稳定,没有出现刚度无穷大的情况。因此,位移/压力混合插值单元,对于不可压缩或近似不可压缩的情况,是适用的。

Reference: